Electrons throughout regions along the general direction of light propagation contribute to a Huygens-like ‘wavelet’ replication process.
1. Forward Reconstruction of a Wavefront
When electromagnetic radiation propagates through a plasma, each free electron within the field oscillates at the frequency of the incident radiation. These oscillating charges act as secondary radiators.
The forward-propagating wave at any point may be regarded as the coherent superposition of secondary radiation emitted by a localized population of electrons surrounding that point.
This region of coherent participation will be referred to as a coherency domain.
For present purposes, we identify this domain with the central Fresnel zone associated with forward propagation.

3. Geometry of the Central Fresnel Zone
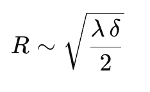
In the above figure, we define:
- λ = wavelength of the radiation
- nₑ = electron number density (cm⁻³)
For a propagation step of length δ, the radius of the first Fresnel zone is approximately

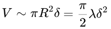
The volume of the coherency domain is therefore approximately

4. Cloning Distance (δ)
We define the cloning distance δ as the characteristic length over which the forward-propagating field becomes governed by the electron density of the medium — i.e., the distance over which the forward field is effectively reconstructed by secondary radiation.
From earlier work this distance, d was determined to be:

This expression shows that the reconstruction distance varies inversely with both wavelength and the electron number density.
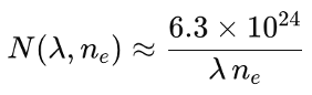
5. Number of Electrons in a Coherency Domain
The number of electrons participating in one forward reconstruction step is, N = ne V and by substituting for V, we have

Using the expression for δ, this reduces numerically to:

This demonstrates that even in very low-density plasmas, a large number of electrons participate in coherent reconstruction of the forward wave. For visible light in the intergalactic medium, this is on the order of 1035 electrons.
6. Continuity of the Process
The forward reconstruction process is continuous. Coherency domains overlap in space; as radiation propagates, each successive domain sharing electrons with adjacent domains. Thus the wave is not rebuilt in isolated steps but through a continuously overlapping sequence of coherent regions as shown in the next diagram.

7. Scope of This Baseline Description
The present discussion defines:
- the spatial scale of coherent forward reconstruction,
- the number of participating electrons,
- and the geometric structure of the coherency domain.
No assumptions regarding electron velocity or Doppler effects have been introduced so far. The next step will consider how electron motion modifies coherence within these domains.
Leave a Reply