In his initial paper Einstein specifically made the point that relativity was largely required to coordinate the observations made by relatively moving observers to accommodate covariant formulations of universally relevant laws of physics. Having established Lorentz’s coordinate equations by his own unique method, he applied them to Maxwell’s field equations to show that Maxwell’s differential equations retain a similar form after having been ‘transformed’ using this ‘Lorentz transformation.’
Significantly, an ‘observational transformation’ identified elsewhere, in addition to taking into account angular disparities, also satisfies the conditions he specified. It is in the same class as the Lorentz transformation in this regard. There is an operationally quite insignificant scale change in the norm that accommodates generalization, but requires incorporating a non-trivial, however, essential ‘relative metric’. An extreme similarity in form is obvious in the following comparison although a different scope from transformation to correspondence is less apparent:

Requirements for achieving covariance of the laws of physics
Surely whatever supports valid formulations of the laws of physics transportable from one environment to others in different dynamical situations should be embraced as the epitome of relativity. Perhaps the major initial success of the Einstein’s special theory of relativity was its applicability to a covariant formulation of Maxwell’s field equations of electrodynamics. We must show that the observation transformation is compatible with that same objective. More generally, we will address what is required for a covariant formulation of a law of physics and how the observation transformation satisfies that requirement.
A conceptual framework (one hesitates to call it a ‘philosophy’) using tensor formulations to leverage independence from an individual observer’s situation has proven of inestimable value and, of course, Einstein’s role in supplying it was key. Also key was the acknowledgement of the universality of the speed of light in a vacuum and that what we observe in nature are not objects per se but fleeting events that occur on those objects and whose times of occurrence are essential labels to be associated with those occurrences. This requires that the observed time of events be incorporated as a fourth coordinate in the registration of natural phenomena. Both positions and time of occurrence of events are required to coordinate strangely diverse geometrical aspects of observations made by two relatively moving observers. These are the essentials if observations made by those in relative motion are to be considered commensurable in any direct way, without which covariance would be impossible.
Sophisticated discussions of 3-space typically involve ‘rotation groups’ of transformations that preserve length between points on rigid bodies from the vicissitudes of observer-peculiar perspectives. There was certainly reason to expect that directly analogous groups would perform the similar function in dynamical situations even in four dimensions. The Lorentz transformation equations as envisioned by Minkowski constitute such a group. In replacing one transformation by a very similar transformation the feature (if it is considered a good thing) of transforming the observation of what is fixed in one frame of reference to where it is located in another remains.
However, as shown elsewhere, transforming where events occur relative to one observer do not legitimately transform as a rigid body would when reference distances are uniquely determined by a unique speed of light geometric structure. A fully operational ‘spacetime metric’ must be incorporated into the observational relativity paradigm, as it eventually would be in Einstein’s general theory. Such a construct avoids attributing observational differences to observer-peculiar measuring devices (i. e., ‘rods’ and ‘clocks’) and incorporating counter-factual presumptions of mutual orthogonality of coordinate axes. The question remains: In such a scheme what constructs are required to guarantee the covariance of the physical laws of nature? Einstein and Minkowski chose the spacetime interval as an archetype an invariant entity. That then becomes a cornerstone in formulating the treatment of mutual scalar invariance.
As we have seen, the measured geometrical relations of observed events for two such relatively moving observers inevitably produce incongruent reports of the same events. Some sort of congruency must be established if there is to be any possibility of achieving covariant formulations of the laws of physics. To realize this there must therefore be a construct to rectify (rather than merely ignore) geometrical perspective disparities between observers. This too has a vestigial counterpart in the special theory; in fact it was key to later use of tensors so essential to extending relativity. But because the special theory presumes mutual orthogonality of coordinate axes, it assigns to this ‘metric’ a role no more significant than a glorified identity matrix.
What are basis vectors?
Of course the establishment of a coordinate frame is required for registration of events within a framework suitable for an observer to categorize locations and times of events in a systematic way. That is the first step in obtaining an understanding of observed phenomena. For obvious reasons this organization must involve for each tabulated event one value for each of the three recognized dimensions and a fourth for time of occurrence. These values are easiest to deal with when they reflect distances along mutually perpendicular directions. In the case of the odd time parameter, ‘mutually perpendicular’ takes on an only slightly altered meaning as we will see. So in four-space we establish a set of ‘unit vectors,”

where the ‘hat’ (^) merely indicates that this concoction is unique in defining an entire set of unit vectors as a basis for specifying position and time of events. The subscript is a ‘dummy index’ used in tensor notation to indicate that all the indices 0 through 3 of the four dimensions are intended. By convention index 0 is associated with the time of an event which, to accommodate common units with the remaining three spatial coordinates incorporates the speed of light as ‘c t’ where c is frequently assumed to be unity by a suitable selection of units for time. Index 1 is generally associated with the first spatial direction (usually denoted ‘x’, which is also usually defined along the direction of relative motion); 2 with ‘y ’; and 3 with ‘z’. These four ‘row vectors’ (or ‘1forms’ as they are sometimes called) are linearly independent – none can be expressed as a linear combination of other unit vectors. We organize them into a matrix array as follows:

In this matrix, denominated (em)n both and are indices as employed in tensor notation. Obviously it corresponds to an identity matrix such that multiplying it times any vector returns components of the vector in the specific coordinate system defined by the basis vectors. In this way the vector r indicating the position of an event in spacetime could be represented as: r (em) = rn = (t, x, y, z), where (m and n should be Greek symbols wherever they appear as sub or super scripts) and t, x, y, and z, are the components of the vector identifying an event in spacetime and (em)n defines the frame of reference for which the vector applies.
An important aspect of unit basis vectors is their contribution to defining an inner product (·) of two vectors. This product is defined such that,
e1 · e1 = +1, e2 · e2 = +1, e3 · e3 = +1, and e0 · e0 = -1.
Notice in particular that,
en · em = 0, if n is not equal to m.
Collectively, these conditions define what we will call the self-metric,

more readily visualized as:

The conditions embodied in the self-metric specify an observer’s geometrical situation – each of his own coordinate axes being orthogonal to every other, etc.. These values would not apply with regard to the axes of another observer in relative motion. Clearly time demands its own only slightly different treatment.
What is the spacetime interval?
An ‘infinitesimal path difference’, d has traditionally been defined as the distance between two nearby points along a curve in 3-space such that:

The somewhat similar path difference s2 (in this case defined exclusively as the squared quantity) between events in a four-dimensional spacetime continuum is defined as follows:

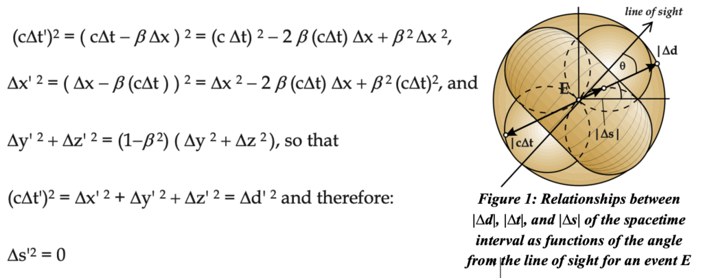
Figure 1 details relationships between Ds2, Dd, and Dt, (where D should be a Greek delta wherever they appear). Notice that a square of the temporal difference in the occurrence times of the related events is subtracted from, rather than added to, a spatial aspect of event differences because of the convention, e · e = 1.
The universality of the speed of light c between the occurrence of an event and its observation (also an event) in each reference frame guarantees that the equation (c Dt)2 = Dd2 holds in both frames of reference. This is true not only of the Lorentz transformation, but also of the visual observation transformation as follows:

However, in extending the meaning of Ds2 to include differences between events other than those united by an emitted and detected photon along the line of sight to an observer for which Ds2 = 0, there is no cancellation of the factor ( 1 – b 2 ) in the third equation (b should be a Greek beta). Instead, for those situations we find that the observation transformation yields:

In Einstein’s special relativity the leading factor of ( 1 – b2 ) is cancelled by the inverse of that factor, i.e, g2 = 1/(1 – b2) (g should be a Greek gamma) in the Dx’2 and (c Dt’)2 equations and does not exist in the Dy’2 and Dz’2 equations obtained from Lorentz transformation. So does this mean that observational relativity is thereby invalidated? No, of course not.
What is the relative metric?
However, this nontrivial relationship does necessitate the use of a different ‘metric’ to reflect phenomenological differences in unique geometries for which mutual orthogonality is not realized. In rigorous formalities employing Einstein’s notation the ‘spacetime metric,’ gmn (analogous to the self-metric defined above) is co-defined with the spacetime interval when generalizing relativity, as follows:

using tensor notation where again summing over common upper and lower indices is assumed. However, in Einstein’s special relativity, uniformly moving observers are assumed to share a common flat spacetime metric with mutually aligned axes; ‘flat’ implying it has no ‘curvature’. It may not be curved, but the skew is hardly what “flat” brings to mind. However, observational relativity absorbs these obvious geometrical differences into a more generalized metric similar to gmn instead – very much as Einstein would do much later in generalizing relativity. Formally this relative metric is called into play in both theories to express covariant physical laws in tensor notation such as those involving an electromagnetic ‘field strength tensor’ in the generalizing of electrodynamics. It is used in defining a covariant derivative, and to ‘raise’ and ‘lower’ indices as a part of manipulating tensor constructs, etc. This relative metric is determined to be:

So insisting on observational aspects of relativity has not forced us to reject either covariance or generalization, but merely to formally address the concepts at an earlier stage of generalization. This alternative approach embraces them in a more direct and legitimate manor by employing a non-trivial metric and its inverse for all relative motion.
To clarify the rather obtuse nature of the spacetime interval, consider that its value to every event one could ever observe is zero. A non-trivial spacetime interval is not an ‘observable’ in physics. With regard to distant galaxies and in particular an event E associated with emission of a single photon of light that occurs in a galaxy a billion light years ago/away, one can consider the space time interval between that event and similar events that may occur in galaxies within a vicinity of E but as assessed in our personal spacetime. Events in other galaxies along our same line of sight will all have spatial components of the spacetime interval canceled by the temporal components. Those at approximately right angles to our line of sight to E will have virtually all the spacetime interval equal to its spatial component. If two events occur simultaneously for an observer (us in this case), indicating that Dt is zero, then the spacetime interval becomes the spatial separation between the two events.
In general if |c Dti| < |Ddi|, the spacetime interval will reflect the spatial difference between the events in the frame of reference of an observer for which the events occur simultaneously. Notice also that if |c Dti| < |Ddi|, there can be no possible interaction between the events. And if |c Dti| > |Ddi|, no observer in any frame can possibly witness the two events as occurring simultaneously. These relationships between Ds2, Dd2, and Dt2 were illustrated in the figure above for a unit spherical spatial difference about some remote observed event E. This mapping is of a sphere onto a torus as shown. Clearly, despite its usefulness in certain cases, the spacetime interval is not based on observations and is a quite non-intuitive construct.
To further clarify previous comments, observational relativity addresses the fact that uniformly moving observers do not share geometrical relations among observed events as easily illustrated by Lorentz-transformed protractors. Therefore (unlike in the special theory which assumes otherwise) any metric presuming to encapsulate the geometrical aspect of respective perspectives must be unique to that particular relative motion relationship. This perspective difference of uniformly moving observers is trivialized by characterizing a supposed mutual spacetime as merely ‘flat’. It isn’t ‘flat,’ it’s skewed. Accordingly their relative metrics were presumed to be identical with their self-(identity)-metrics. This is a failure to acknowledge that respective basis vectors are not (and cannot be) aligned despite continued insistence to the contrary.
Although the fact that angles to mutually observed events from coincident observation points are askew with regard to each other may seem to some (including Penrose, Terrell, and other pre-eminent physicists) as merely a minor embarrassment of a difference between appearance and ‘reality’, it is a situation of major significance. This is equally true from mathematical, physical, and philosophical perspectives. Acknowledgment of this fact distinguishes ‘observational’ from ‘special’ relativity.
What is spacetime?
Special theory apologists have assumed that spacetime provides a platonic underlying reality for each observer, different but transformable to that of other observers. Transaction geometry is not about spacetime writ large, but rather concerns itself with the relations that apply to respective observations of the physical reality we inhabit as Kant had insisted. Einstein himself stated: “In the first place we entirely shun the vague word ‘space,’ of which we must honestly acknowledge, we cannot form the slightest conception, and we replace it by motion relative to a practically rigid body of reference.” (1961, p. 9) Here he embraced only the actualities that are observed by both (of two) observers in characterizing the relationship between them. It is the relationship between measured actualities that is significant, not a coordination of complete metaphysical ‘realities’ attributed to the two observers. With regard to ‘reality’ itself, as Newton said, we “frame no hypothesis.”
The metric employed in observational relativity characterizes the geometrical relationship imposed by the dynamical situation of the two relatively moving observers – hence the term ‘relative metric’. It does not directly state anything about nature or reality, nor certainly allocate incommensurability to the ‘other’ observer to account for the differences. It pertains simply to the relationship between nominal observations made by relatively moving observers. By employing metrics in this way, undeniable observational similarity can be established that justifies some level of philosophical realism with regard to physical sources of events observed from relatively unique dynamical perspectives. That geometrical relationships imposed upon these observations made from these various perspectives are inevitably unique implies that geometry as such is not an aspect of nature, so conceived – opinions of some of the more influential scientists of the last century notwithstanding. This uniqueness can, of course, be encompassed by metrics that address the relationships induced by relative motion for any two observers’ geometries and thus to recover covariance to the formulation of the ‘apparent’ behavior of phenomena without presupposing an absolute underlying spacetime, nor therefore any ‘spacetime geometry’ per se beyond observed relationships. Spacetime need not (nor can it accurately) be considered the least common denominator of a shared reality.
As previously conceived by Immanuel Kant, Bertrand Russell, and others (including Albert Einstein’s early insights quoted above), the conclusions we have reached eschew the imposition of pure reason in the form of a supposed or an elegantly theorized geometrical construction of ‘reality’.
Other than as we have outlined, how inertia and gravitation ultimately couple into this alternative conception to more fully generalize observational relativity without relinquishing the role of physics to mathematicians is a topic for another day.
Leave a Reply